title: Data Structure Study Notes <4> Binary Tree
link: Data Structure Study Notes <4> Binary Tree
catalog: true
lang: en
date: 2020-03-15 00:38:18
subtitle: MOOC Zhejiang University's Data Structure Online Course Study Notes - Binary Tree
tags:
- c++
- data structure
- binary tree
categories: - [notes, data structure]
1. What is a Tree#
1. Definition of a Tree#
A tree is a finite set of n (n≥0) nodes.
When n=0, it is called an empty tree.
For any non-empty tree (n>0), it has the following properties:
- The tree has a special node called the "root", represented by r.
- The remaining nodes can be divided into m (m>0) disjoint finite sets T1, T2, ..., Tm, where each set itself is a tree and is called a "subtree" of the original tree.
- The subtrees are disjoint.
- Except for the root node, each node has one and only one parent node.
- A tree with N nodes has N-1 edges.
2. Some Basic Terms of a Tree#
1. Degree of a Node: The number of child nodes a node has.
2. Degree of a Tree: The maximum degree of the nodes in the tree.
3. Leaf Node: A node with a degree of 0.
4. Parent Node: If a node has a previous node, the previous node is called its parent node. If there is no previous node, the attribute has no parent node.
5. Child Node: If node A is the parent node of node B, then node B is called the child node of node A; the child node is also called a child node.
6. Sibling Node: Nodes with the same parent node are called sibling nodes.
7. Path and Path Length: A path from node n1 to nk is a node sequence n1, n2, ..., nk, where ni is the parent node of ni+1. The number of edges in a path is the length of the path.
8. Ancestor Node: All nodes along the path from the root to a certain node are ancestor nodes of that node.
9. Descendant Node: All nodes in the subtree of a certain node are descendants of that node.
10. Level of a Node: The root node is defined as level 1, and the level of any other node is the level of its parent node plus 1.
11. Depth of a Tree: The maximum level of all nodes in the tree is the depth of the tree.
12. Forest: A collection of m disjoint trees.
2. Representation of a Tree#
1. Child-Sibling Representation#


3. Binary Tree#
1. Definition#
Binary Tree T: A finite set of nodes.
This node can be empty.
If it is not empty, it consists of a root node and two disjoint binary trees called its left subtree TL and right subtree TR. There are five basic forms of binary trees: a empty tree, a tree with only one node, a tree with one node and a left subtree, a tree with one node and a right subtree, and a tree with one node and both left and right subtrees.

PS: The order of left and right subtrees matters in a binary tree
Several special binary trees

Abstract Data Type Definition of Binary Tree
Type Name: Binary Tree
Data Object Set: A finite set of nodes.
If it is not empty, it consists of a root node and its left and right binary subtrees.
Operation Set: BT∈BinTree, Item∈ElementType, important operations include:
- Boolean IsEmpty(BinTree BT); //Determine if BT is empty
- void Traversal(BinTree BT); //Traverse the tree and visit a node in a certain order;
- BinTree CreatBinTree(); //Create a binary tree
Common traversal methods include:
- void PreOrderTraversal(BinTree BT); //Pre-order traversal - root, left subtree, right subtree
- void InOrderTraversal(BinTree BT); //In-order traversal - left subtree, root, right subtree
- void PostOrderTraversal(BinTree BT); //Post-order traversal - left subtree, right subtree, root
- void LevelOrderTraversal(BinTree BT); //Level-order traversal - from top to bottom, from left to right
2. Several Important Properties of Binary Trees#
- The maximum number of nodes in the i-th level of a binary tree is 2^i-1^, where i≥1.
- The maximum total number of nodes in a binary tree with depth k is 2^k^-1, where k≥1.
- For any non-empty binary tree T, if n0 represents the number of leaf nodes and n2 represents the number of non-leaf nodes with a degree of 2, then n0=n2+1.
- The depth k of a complete binary tree with n nodes must be log~2~n+1.
3. Storage Structure of Binary Trees#
1. Sequential Storage Structure#
Complete Binary Tree: Store the parent-child relationship of n nodes in a complete binary tree in order from top to bottom and from left to right.
- The parent node (index i > 1) has a parent node with an index of [i / 2] (rounded down).
- The left child node (index i) has an index of 2i (2i ≤ n, otherwise there is no left child).
- The right child node (index i) has an index of 2i+1 (2i + 1 ≤ n, otherwise there is no right child).
This sequential storage structure can also be used for general binary trees, but it may cause space waste.
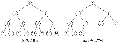
Full Binary Tree: A binary tree in which every level, except possibly the last, is completely filled, and all nodes are as far left as possible
2. Linked Storage#
(1) Definition#
typedef struct TreeNode *BinTree;
typedef BinTree Position;
struct TreeNode {
ElementType Data;
BinTree Left;
BinTree Right;
}
(2) Traversal (Recursive Implementation)#
Pre-order Traversal:
- Visit the root node first.
- Pre-order traverse its left subtree.
- Pre-order traverse its right subtree.
void PreOrderTraversal(BinTree BT) {
if(BT) {
printf("%d", BT->Data);
PreOrderTraversal( BT->Left);
PreOrderTraversal( BT->Right);
}
}
In-order Traversal:
- In-order traverse its left subtree.
- Visit the root node.
- In-order traverse its right subtree.
void InOrderTraversal(BinTree BT) {
if(BT) {
InOrderTraversal( BT->Left);
printf("%d", BT->Data);
InOrderTraversal( BT->Right);
}
}
Post-order Traversal:
- Post-order traverse its left subtree.
- Post-order traverse its right subtree.
- Visit the root node.
void PostOrderTraversal(BinTree BT) {
if(BT) {
PostOrderTraversal( BT->Left);
PostOrderTraversal( BT->Right);
printf("%d", BT->Data);
}
}
(2) Traversal (Non-Recursive Implementation)#
Basic idea: Use a stack or queue
In-order Traversal (Non-Recursive)
- When encountering a node, push it onto the stack and traverse its left subtree.
- After the left subtree traversal is finished, pop the node from the stack and visit it.
- Then go to the right subtree of the node and in-order traverse it.
void InOrderTraversal(BinTree BT) {
BinTree T = BT;
Stack S = CreatStack(MaxSize); // Create and initialize stack S
while( T || !IsEmpty(S) ) {
while(T) { // Go left and push nodes along the way onto the stack
Push(S, T);
T = T->Left;
}
if( !IsEmpty(S) ) {
T = Pop(S); // Pop the node from the stack
printf("%5d", T->Data); // Visit the node
T = T->Right; // Go to the right subtree
}
}
}
Level-order Traversal
- Need a data structure to store temporarily unvisited nodes (stack or queue)
Queue implementation: Start the traversal from the root node, first enqueue the root node, and then start the loop: dequeue a node, visit the node, enqueue its left and right children.
- Enqueue the root node.
- Dequeue an element from the queue.
- Visit the node pointed by the element.
- If the left and right children of the node are not empty, enqueue them.
void LevelOrderTraversal(BinTree BT) {
Queue Q; BinTreee T;
if ( !BT ) return; // Return directly if it is an empty tree
Q = CreateQueue(MaxSize); // Create and initialize queue Q
AddQ(Q, BT);
while( !IsEmpty(Q) ) {
T = DeleteQ(Q);
printf("%d\n", T->Data); // Visit the node
if(T->Left) AddQ(Q, T->Left); // Enqueue the left child
if(T->Right) AddQ(Q, T->Right); // Enqueue the right child
}
}
Additional Knowledge
Basic Operations of Data Management - Search: Find the records in a set R with a given key K. It can be divided into static search and dynamic search.
Static Search: The records in the set are fixed, and there are no insert and delete operations, only search operations.
Method 1: Sequential Search (Sentinel concept: set a value at the boundary of the array, and the loop can end when encountering the sentinel, which can reduce one branch judgment) Complexity: O(n);
Method 2: Binary Search (Prerequisite: the array is continuous and ordered)
Dynamic Search: The records in the set are dynamically changing, and there may be insert and delete operations in addition to search.